
The 2024-2025 Geoheat Action Plan was launched during the 2024 New Zealand Geothermal Week held in the Taupo region.
Click here to access the full 2024-2025 Geoheat Action Plan document.
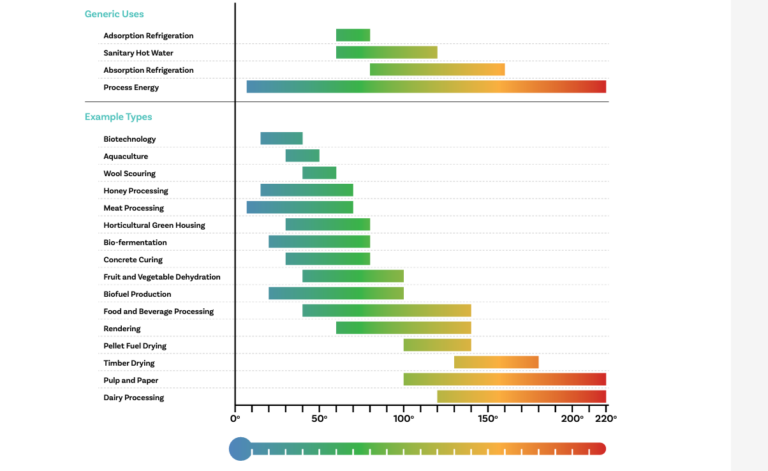
Geoheat refers to the use of geothermal heat energy beyond electricity generation. It is a proven, sustainable, cost-effective source of low- or zero-carbon heat that can be harnessed using well-established technologies. Geoheat can be utilised in a diverse range of industries and production systems that require process heat or controlled temperature environments including wood processing, food processing, industrial manufacturing, aquaculture, horticulture, and biotechnology.

Geoheat uses (source: NZGA, 2024)
The New Zealand geothermal community has long been aware of the benefits of Geoheat, with it being used by New Zealand industries since the late 1950s. In an effort to proactively increase uptake, in 2017 the New Zealand Geothermal Association (NZGA) commissioned a Geoheat Strategy 2017-2030. This strategy outlined a vision for the future of Geoheat in New Zealand, and aimed to double Geoheat use by 2030, an increase of 7.5 PJ, with an associated 500-plus new jobs created.
Subsequent two-yearly Action Plans developed by the Geoheat Action Group have identified interim goals and specific activities intended to adapt to the changing energy and carbon landscape in New Zealand to continue to give life to the vision.
The 2024-2025 GeoHeat Action Plan has the following major goals:
The establishment of NEW PROJECTS using geothermal energy for process heat. For the 2024-2025 period, the target is to announce and/or complete at least seven new Geoheat ventures which will equate to emission reductions of between 25,000 to 40,000 tonnes per annum (relative to fossil fuels). These ventures will ideally be comprised of one new major industrial high-temperature venture, three new SME high temperature ventures, and 3 new or fuel-switching low-temperature ventures.
To POSITION of Geoheat so it is widely acknowledged as a viable sustainable process heat option for industrial and commercial operations in New Zealand. Within this, the Geoheat Action Group will support efforts by geothermal process heat and technology solution providers.
To further ENABLE Geoheat by ensuring information and case studies are available to operators and investors, giving them knowledge, networks and confidence to invest in Geoheat. The Geoheat Action Group will support and work with organisations who provide funding and solutions for energy and innovative processes, regional and district economic development agencies, organizations that provide knowledge and technical support on geothermal opportunities, and high-temperature geothermal heat providers.
Provide access to Geoheat facilities that DEMONSTRATE the technologies, which operators and investors can visit firsthand. As part of this, a group of ”Leading Geoheat Adopters” will be established who will be keen to share their stories and learnings.

The Miraka dairy processing plant at Mokai, New Zealand (source: Miraka)
A key change for the 2024-25 is the increased focus on low temperature geothermal resources. The wider geographical spread and thus greater accessibility of low temperature Geoheat across New Zealand and potential for in situ switching of heat sources by existing users, including SMEs, suggests that lower temperature Geoheat could have as big or even bigger impact on New Zealand decarbonising efforts than high temperature Geoheat. Work in this area has already commenced in the 2022-23 period.